寄附とは「無償による経済的利益の供与」を言います。
つまり「何ら対価を受けることなく金銭や財産を贈与したり、何ら対価を受けることなく役務の提供をすること」を言います。
そして当該寄附行為を金額で示したのが「寄附金」ということになります。
今回はこの「寄附金」の概要について説明したいと思います。
寄附金が損金算入制限を受ける理由
法人が他の法人や個人に寄附を行った場合、当該寄附金については「寄付金の損金不算入規定(37条)」の適用を受けます。
つまり、原則として「寄附金の額のうち、一定金額を超える部分は損金不算入となる」ということです(37条1項)。
その理由を以下に説明します。
原則として「寄附金の額のうち、一定金額を超える部分は損金不算入となる」理由
冒頭で述べたとおり、寄附とは「無償による経済的利益の供与」のことです。つまり対価なくして無償で相手方に経済的利益を与える行為であり、当該行為は直接には収益獲得に貢献していません。よって、収益獲得には直接貢献しない支出である寄附金に費用性は見いだせないので、損金算入させるべきではないということになります。
また、もしも寄附金の全額損金算入を認めてしまうと、寄附金を利用して恣意的に所得操作がなされてしまうという危険性があります(たとえば期末において「当期は所得が多く、このままでは法人税の納税額が多額になるから、寄附をして所得を減らそう」ということが簡単にできてしまいます)。
このように考えると、寄附金は損金算入させるべきではないとも思われます。
しかし、営利企業において寄附というものが、何の見返りも期待しないで行われることは通常考えられません。つまり将来的に何らかの見返りを受けることを期待して行われるのが寄附ということです。そう考えると、寄附金は将来の収益獲得を期待して行われるので、その点について費用性があると言え、損金算入すべきということになります。
しかし、実際には全国各地で行われる様々な寄附について、見返りを期待して行われた「費用性がある部分」と見返りを求めずして行われた「費用性のない部分」が混在していると判例で説明されています(大阪高判昭和35年12月6日行集11巻12号3298頁)。
そして、全国各地で行われる様々な寄附一つ一つについて「費用性がある部分」と「費用性がない部分」の割合はまちまちであり、この割合を一つ一つの寄附について決めていくのは煩雑です。そこで「費用性のある部分」として損金算入できる金額は型にはまった計算方法で求めることができるように法律上規定されています(37条1項の委任を受けた施行令73条1項1号は、寄附を行った法人の(ⅰ)資本金と資本準備金の合計額と(ⅱ)所得の金額という2つの要素だけから、機械的に損金算入限度額が計算される内容になっています)。
このような理由から、原則として「寄附金の額のうち、一定金額を超える部分は損金不算入となる」のです。
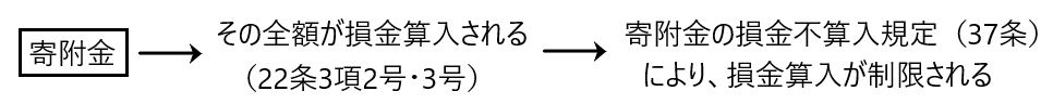
寄附が行われた場合の法律構成
寄附に関する法人税法上の法律構成は「一旦その全額が22条3項2号・3号の費用・損失として損金算入され、その後37条によって損金算入が制限される」という形をとっています。
つまり「寄附金に該当すると、原則損金算入が認められないが、37条によってその一部の損金算入が認められる」という法律構成ではないということです。

法人税法37条7項
冒頭でも説明したとおり、寄附とは「無償による経済的利益の供与」を言います。
このような行為は「無償による金銭・資産の贈与や無償による役務の提供等」(ただでお金をあげた、ただで資産をあげた、ただで役務を提供した等)のみならず、「低額譲渡」や「高額譲受け」も当てはまります。
つまり「低額譲渡」や「高額譲受け」も資産の時価と対価の額の差額は「無償による経済的利益の供与」であり、これらも寄附金に含まれまるということです。
しかし37条7項で規定している「寄附」は「低額譲渡」や「高額譲受」を除く典型的な寄附について規定しています。
つまり37条7項は「無償による金銭・資産の贈与や無償による役務の提供等」(ただでお金をあげた、ただで資産をあげた、ただで役務を提供した等)という寄附について規定しているということです。
✔寄附金の定義
37条7項では寄附金の額が定義されています。そこでは「金銭その他の資産又は経済的な利益の贈与又は無償の供与」とあります。
つまり寄附金の額とは「無償による金銭・資産の贈与や無償による役務の提供等の額」(ただでお金をあげた、ただで資産をあげた、ただで役務を提供した等、のその額)」ということです。
したがって、通常の寄附の概念(金銭や資産を贈与した)よりも法人税法上の寄附の概念(金銭や資産を贈与した場合のみならず、役務を提供した、債務を免除した場合など)の方がかなり広いことになります。
✔寄附金には該当しないもの
37条7項のカッコ書きにおいて「広告宣伝及び見本品の費用・・・並びに交際費、接待費及び福利厚生費」は寄附金から除かれています。
これらは「無償による金銭給付等」であり、その点で寄附金と共通しますが、これらには「費用性がある」点で寄附金と区別されます(寄附金とは、費用性があるものとないものが混在しているもの、あるいは費用性がほとんどないものを言います)。
これらは原則として全額損金算入が認められます(交際費、接待費については費用性があるけど、政策的な観点から損金算入が制限されています)。
✔寄附金の額は時価を基準に算定する
37条7項においては「寄附金の額は時価を基準に算定する」ことが規定されています。
つまり寄附が資産の贈与や役務の提供として行われた場合には、当該資産の時価や役務を提供した時の時価で計上するということです。
たとえば取得価額1000万円、時価1200万円の土地を贈与した場合、贈与した側(寄附をした側)において「寄附金1200万円」を計上するということです。
✔寄付金の損金算入時期
寄付金を損金に算入させるためには、法人が現実に金銭その他の資産又は経済的利益の贈与等を行っていなければなりません(東京地判平成21年7月29日判時2055号47頁〔F1オートレース事件〕)。
つまり寄附金は「寄附を行うことを約束する」だけでは、当該寄附金を損金算入させることはできません。課税実務でも、寄附金の支払のために手形を振り出しただけでは、支払を約束したに過ぎないから、現実の支払には該当しないとしています(法人税基本通達9-4-2の4)。
このように寄附金につき一種の現金主義が採用されているのは、もしも寄附金が単なる約束だけで損金算入できるなら、期末において所得が多くこのままでは多額の法人税を納税しなければならないという場面において、寄附金の損金算入限度額の範囲内で寄附金を利用した租税回避行為が容易にできてしまうため、これを防ぐためであると思われます。
低額譲渡(法人税法37条8項)
寄附とは「無償による経済的利益の供与」を言います。
たとえば「時価8000万円の土地を3000万円の対価を得て譲渡した」といった場合において、8000万円から3000万円を差し引いた差額の5000万円は、譲渡した側において「無償による経済的利益の供与」にあたります(37条8項)。
つまり、寄附とは37条7項の典型的な寄附のみならず、低額譲渡の場合も資産の時価とその対価の額との差額が寄附に該当するのです。
上記の例で言うと「土地の時価8000万円ー受け取った対価の額3000万円=5000万円」が寄附金の額となります。
高額譲受け
低額譲渡と同様に経済的利益が無償で移転する取引として高額譲受けがあります。
たとえば当社が相手の法人から時価3000万円の土地を8000万円を支払って譲り受ける場合、差額の5000万円は無償による経済的利益の移転であるため、寄附金となりそうです。
しかし、高額譲受けの場合は低額譲渡(37条8項)と違い、高額譲受けから寄附金が生じることについての条文が存在しません。
条文がないにしても、結論としては高額譲受けからも寄附金が生じると解するのが妥当です。そこで問題となるのはその法律構成の仕方です。
✔正常な対価と非正常な対価を分離する方法
たとえば、先ほどの例である「当社が相手の法人から時価3000万円の土地を8000万円を支払って譲り受ける」場合、正常な対価である3000万円部分と非正常な対価である5000万円部分に分離し、後者が「金銭の無償の供与」にあたるとして37条7項を適用する方法です。
ただこの解釈が許されるなら、たとえば「時価8000万円の土地を3000万円で低額譲渡する」場合、正常な対価を受けた3000万円部分と、非正常な5000万円部分に分離し、後者が「資産の無償供与」にあたるとして、低額譲渡の場合も37条7項が適用できるので、37条8項(低額譲渡)の存在意義が問われます。
✔37条8項は経済的価値が無償で移転する典型例として低額譲渡を取り上げただけと考える方法
37条8項は、37条7項の寄附の典型例以外の場合で、経済的価値が無償で移転する典型例として低額譲渡を取り上げただけであって、同様の効果が生じるときは、低額譲渡でなくても同条項が適用されるという考え方です。
ある裁判例では「一般的に寄付がその前提としている贈与は、自己の損失において他者に利益を与える法律行為であるところ、低額譲渡といわゆる高額譲受けとではその利益の内容について前者は財産権であり、後者は金銭であるという違いはあるものの、経済的利益である点で両者は共通のものであって、これを区別する理由は存しない」として、37条8項(当時は7項)が「高額譲受けの場合を排斥するものではな〔い〕」としたものがあります(福岡高判平成11年2月17日訴月46巻10号3878頁〔大分瓦斯株式会社事件〕)。

